(DOC) Scandalul continuă! Ion Ceban a sesizat misiunile diplomatice privind situația salariilor cadrelor didactice. Perciun: „Profesorii vor primi salariile la timp”
Scandalul dintre Primăria Chișinău și Ministerul Educației continuă. Primarul general al capitalei, Ion Ceban, a sesizat misiunile diplomatice privind situația din sistemul educațional municipal, publicând mai multe documente care demonstrează faptul că autoritățile centrale ar fi creat artificial această problemă.
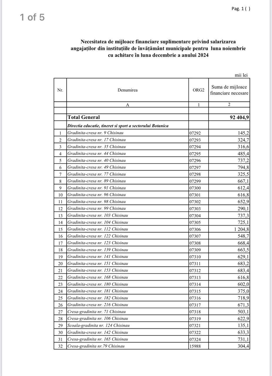
Primarul general capitalei, Ion Ceban, a afirmat, la 19 noiembrie curent, că profesorii din instituțiile de învățământ din capitală ar putea rămâne fără salarii în luna decembrie. Acesta a estimat că, pentru sfârșit de an, ar fi prevăzuți din bugetul de stat 36 de milioane de lei, în loc de circa 200 de milioane.

Între timp, ministrul Educației din Moldova, Dan Perciun, a asigurat că profesorii din Chișinău vor primi salariile la timp. Într-o conferință de presă din 19 noiembrie, el a declarat că a discutat cu reprezentanții Primăriei Chișinău despre realocarea unor resurse financiare pentru plata salariilor.
Perciun a explicat că banii necesari există și pot fi redistribuiți din economiile făcute la alte categorii bugetare, cum ar fi energia, utilitățile și alte servicii. De exemplu, din cele 384 milioane lei planificate pentru energie și utilități în 2024, doar 282 milioane au fost cheltuite până în noiembrie, rămânând 164 milioane lei disponibili, care pot fi folosiți inclusiv pentru salarii.